原标题:高考热点:圆锥曲线的一个统一等角定理证明及举例
【来源】解忧高中数学杂货店(许兴华数学/选编)
圆锥曲线等角定理的证明
说明:2018 年新课标 1 卷理科和文科的解析几何大题以及2015年新课标1卷理科大题的出题背景都是圆锥曲线等角定理,有兴趣的同学可以用自行查看。我们证明以下椭圆和抛物线的等角定理。
椭圆等角定理

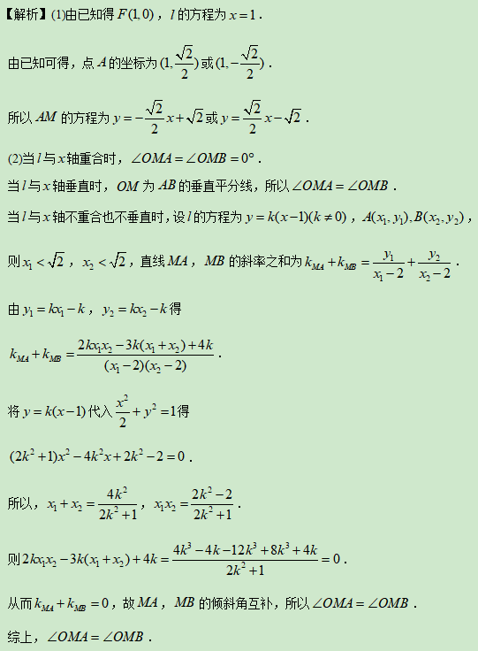
解析
(1)关键思路一:角度条件如何利用?
(2)关键思路二:斜率求和计算及联立方程。
(3)关键思路三:联想到韦达定理,需要联立直线和椭圆方程。
思考:为什么消去纵坐标计算量会变大,这里简化计算量的关键是什么?直线方程为什么使用这样的表达式:x = my+ t ,这种反设的形式和一般的点斜式方程,做题时我们应该选择哪种形式?
在平时做题时,作为教师也要教学生分析好应该写成那种直线,从运算角度以及是否有意义角度出发,争取达到事半功倍的效果。
说明:2018 年新课标 I 卷理科题目就是以椭圆等角定理为背景出题的。相信同学们理解了上述内容后很容易就能证明出这道题来。题目如下
双曲线等角定理
该定理的证明方式和椭圆的类似,感兴趣的同学可以参照上面的方法自行证明。
抛物线等角定理
解析
(1)关键思路一:角度条件如何利用?
(2)关键思路二:斜率求和计算及联立方程。
(3)关键思路三:联想到韦达定理,需要联立直线和椭圆方程。
总结一下,抛物线方程和直线方程联立时我们应该消去一次项,这样计算量更小。而在椭圆和双曲线方程中,由于其方程形式的结构,无论是消去 x 还是消去 y 变量计算量都差不多,这个时候采用什么直线方程形式主要看要化简的表达式及题目条件。
说明:2018 年全国新课标 I 卷文科,2015 年全国 I 卷理科解析几何大题均是以抛物线等角定理为背景而命题的,原题如下,同学们可以想一下如何证明,相信理解了上述过程,证明以下两道题目应该没有问题。
2018年全国1卷 文科数学
2015年全国1卷 理科数学














