原标题:磁性的本质是什么,你如何理解?
导读:磁性的本质是什么,你如何理解?
1、
磁学性质是物质的重要物理性质之一。通过磁矩测量分子结构也是很重要的方法之一。按照磁学性质可将物质划分为:顺磁性、反磁性、铁磁性和反铁磁性四类。接下来逐一简单介绍这四种性质。
1.顺磁性
顺磁性是将某种物质置于磁感应强度为B0的磁场中,则该物质内部的磁感应强度为B,则有公式

B'是物质磁化产生的附加磁感应强度。如果是均匀的物质,B'可以和B0方向相同,也可以相反。如果两者方向相同,称为顺磁性物质。顺磁性物质在外加磁场中被吸引,由于B'比B0小,顺磁性物质在外加磁场方向被磁化的程度比较轻微。
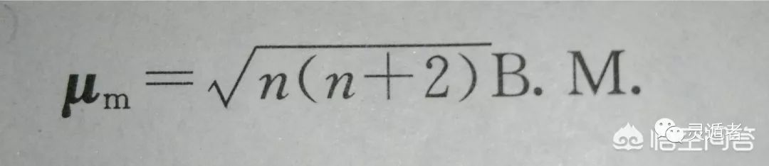
磁性是由带电粒子运动产生的,物质的磁性源于原子中电子的自旋运动、电子的轨道运动以及原子核的质子和中子的运动。相应磁矩分别称为电子自旋磁矩、电子的轨道磁矩与核磁矩。顺磁性物质的磁矩主要来自于电子的自旋运动。可按下式公式计算
n为未成对电子数,B.M.是磁矩的单位,叫做波尔磁子,按照这个公式计算的磁矩与实验测得的磁矩相符,就属于顺磁性物质。这类具有未成对电子的分子,它的磁矩在无外加磁场时就存在,称为永久磁体。
2.反磁性
如果某物质在磁感应强度为B0的磁场中所产生的附加磁感应强度B',当B'方向与B0相反时,这种物质称为反磁性物质,也叫抗磁性物质。反磁性物质在外加磁场中被排斥。在反磁性物质的分子中,所有电子都自旋成对,没有未成对电子,所以没有永久磁矩。在外加磁场中,电子都成对出现,净的磁矩为0,而电子的轨道运动在磁场方向产生的净的轨道磁矩,其方向与外加磁场相反。这种磁矩是在磁场的诱导下产生,磁场撤除后,随即消失。实际上顺磁性的物质的分子,也有成对电子,也具有反磁性,只是因为顺磁性物质的分子具有永久磁矩,所以顺磁性超过反磁性,净结果表现为具有顺磁性。
3.铁磁性
铁磁性物质首先是具有顺磁性,但是这类物质在外加磁场B0中,所产生的附加磁感应强度B'比B0大很多。在足够低的温度下,很多顺磁性物质会发生相变,转变成其中所有自旋都彼此排列整齐,从而大大增强了物质的磁性。当外加磁场消除后,其磁感应强度仍然保持不变。当邻近的自旋在物质中适当大的区域内按相同的方向排布时,就会产生很强的磁感应强度,这种区域成为磁畴。
如图,a图顺磁性物质中,原子或分子是混乱排布的;b图就是在铁磁性物质中,原子的磁矩组合成磁畴;c未磁化的铁磁性物质中,磁畴的方向是混乱的;d被磁化后,磁畴方向是一致的
在铁磁性物质中的磁畴中,含有相当大数量的同一方向自旋的原子。未被磁化前这些磁畴的方向可能有多种,因此,它们的磁矩能相互抵消。然而铁磁性物质被放在外加磁场中,这些磁畴就调整为按同一方向排列而产生很强的磁效应。在被磁化的过程中,磁畴方向的调整如同物质的重结晶过程而形成有规则的晶体,当磁场撤除后,磁畴方向不变,这种物质成为永磁材料。
总之,一种物质具有铁磁性的关键因素有两点:一是该物质必须有未成对电子,或者说这种物质必须有顺磁性;二是原子间的距离必须适合于使原子有可能形成磁畴。常见的铁、钴、镍都是铁磁性物质,因此可以作为铁磁性材料
4.反铁磁性
与铁磁性相反,当从具有顺磁性物质发生相变时,物质中相邻的自旋按相反方向排列,自旋的顺磁性收到强烈地抑制,这种物质成为反铁磁性,NiO就是少见的反铁磁性的物质。
我的介绍可能不是太清楚,如果要详细了解,可以找相关书籍学习。
/21.场,是一种物质,看不见摸不着,真实存在的,任何的非接触的力,都有场这种物质作用,例如 电场 磁场 重力场,原子之间的强相互作用,原子核内部的质子中子之间,或者更进一步的夸克与夸克之间,都是由于场的连接作用。场真的很神秘,很难理解,如果谈其结构组成,估计在这个空间是无法得到答案了。
2.磁性,之前在纪录片里看到,重力是由于空间被挤压形成的,就好像宇宙空间把你压在地球表面上,从而形成了非接触的力,所以要研究这种场,需要把空间展开,目前人类还做不到这种技术,虽然人类已经能做出小型黑洞了,但是这还远远不够,不足以把空间扭曲研究,所以磁性的研究,或者场的研究,还任重道远!
3、物质由原子组成,原子内含正负电性,规律的正负电性排列使物质能量增加,像磁铁的每个原子就是一个磁矩,每个磁矩的规律排列形成磁能,学界认为磁场与电子自旋有关,这个说法不准确,应该是原子之一正一负才是道理,因磁和电是双向性,N,S,宇宙万物本质正负电性,所以磁产生源于正负电性,电生磁,磁生电,二者互为因果,因每个原子能量极弱,必须有规律排列才能产生磁能,磁同极相斥,异极相吸引,这个说明磁的本质就是正负电性。
那磁场本质又是什么?肯定是一种粒子流或波,学界认为与电子有关,如果是电子流是不可能的,因原子内质子正电能量锁住了电子的外流,磁力切割产生电,故电磁同源,因宇宙正负粒子(暗物质)广泛存在于太空和任何物质内外之特性,故原子内除质子中子电子以外都充斥着正负粒子(暗物质),具有磁能的原子带动了内外粒子的流动,并形成循环,这就是磁场,磁力切割磁粒子进入导体致原子电性增加而规律流动形成电流。
电,磁,光,恒星,行星内之恒久高温,同源同理,电和磁是宇宙根本能量和物质,单纯用原子类物质根本不能解释,只有宇宙正负粒子才能解释,也是终极解释,微观粒子组成宏观原子物质是宇宙规律,铁的本质和现象,无法辨驳,学界只停留在原子和分子去解释以上四大现象当然是不可能的,是对科学不负责,实质太肤浅,没有发现宇宙本质,故学界宇宙论多为谬论或没有说明本质。原创理论,引用声明,写作辛苦,希望大家支持,评论和转发,
4、
磁的本质就是由电衍生而来,是电的变化产生的磁场,即电生磁。如果没有电,就没有磁。
最早,人们并不知道磁和电的关系,很多人都认为磁是磁,电是电。磁具有和电类似的性质,是由磁荷产生(相对于电荷)。而直到1820年,奥斯特偶然间发现了在通有电流的导线旁边放上一个小磁体,小磁体竟然会发生偏转。才揭示了原来磁可以由电产生。十年后,法拉第发现了在磁场中,导体组成的闭合电路做切割磁感线的运动可以产生电流,由此揭示电磁感应定律。特别是随后麦克斯韦方程组的提出,更是把磁和电紧密结合在了一起,电生磁、磁生电被人们所熟知,甚至还预测了电磁波的存在。至此,磁现象的本质被认为是电的变化。
说到这里,可能有人要问,既然电流可以产生磁场,那么磁铁没有电流,为什么也会产生磁场?按理来说不应该啊?
这个问题就要从微观层面来说了:我们都知道,物质是由分子、原子组成。原子由一个核外运动的电子组成,电子围绕着原子核公转和自转,就像电流一样。所以,原子是可以产生磁场的,具有磁距的。一般的物质,电子产生的磁场方向杂乱无序,相互抵消,整体表现为无磁性。而磁铁,它的内部电子排布较为规整,产生的磁场方向一致性好,磁场相互叠加加强,就表现出来了强的外部磁场。
而生活中的核磁共振就是根据原子的磁共振原理来进行分析检测的。所以,磁就是由电产生,是电流运动导致的一种物质场。
关注一波吧,总有你想要的~
/5、爱因斯坦已经说了,磁场是电场在不同参照系体现,运动的电荷产生磁场。我对经典的电磁现象总结了一下,对磁场的认识又加深了一步。得出一条规则(磁力是电荷有了相对运动而增强的电力。既磁场是电荷相对运动而增强的电场)。上高中时有一个难题困扰着我,为什么通了同向电流的导线是相吸引的,而真空中同向飞行的电子流是相排斥的?导线里流动的不也是电子吗,导线在此起了什么作用?当时不知道什么是相对论。我就想:两条导线里流动的自由电子肯定是相互排斥的,而两条导线里的原子核肯定也是相互拍斥的。那吸引力道底是从哪里冒出来的呢?再一想(那时除了暗恋女生就剩瞎想了)只有电子与原子核之间才有吸引力呀!看来只能从这里下手了。虽然自由电子在流动但是两条导线里的正负电荷的数量是相等的呀!是静电平衡的呀,同种电荷相斥,异种电荷相吸。
怎么会有多余的吸引力呢。看来还跟运动有关,运动又是相对的,假如两条导线里的自由电子都以相同的速度运动,那两边的自由电子就是相对静止的。但是其中一条导线里的自由电子相对与另一条导线里的原子核是有相对运动的。是不是有了相对运动以后它们之间的吸引力不再由静电常数决定,静电常数是用静电测出来的,动电是不是就不适用了呢!当你站立不动时,你脸部皮肤的外侧受到的是一个大气压(因为皮肤内侧也是受到一个大气压,是平衡的,所以感觉不到压力)当你向前奔跑时,气体分子撞击面部的速度加大了,压力也增大了。
也就感觉到风了,风就是因为运动而增加的空气压力!电场会不会也一样呢?假如把静电场想象成空气,磁场想象成风,磁就是电风!(我是不是疯了)就可以圆满解释两条通了同向电流的导线相吸引的问题了,两条导线里自由电子之间,原子核之间的排斥力保持不变,而一条导线里的自由电子相对于另一条导线里的原子核之间的吸引力因为宏观的(微观的相互运动增加的力已经抵消了)相互运动而增加了。通了反向电流的导线相排斥也是一个道理。经过若干年的琢磨,后来发现这个规则通过衍生可以解释所有的经典电磁现象,包括电磁感应,电磁波。本文原创
6、
综合上面的观点,显然引力波不会与电磁波发生纠缠和作用。也不会和电磁场发生纠缠和作用。
有同学这时候不服气了,站起来问了一个问题:光是一种电磁波,可以被大质量物体偏转。甚至在黑洞附近,光是无法逃逸的。这不就是引力使得电磁波偏转吗?不就是引力对电磁波有作用吗?那么引力波和电磁波不也会发生作用吗?
首先是这样的,引力波和引力是两个概念。引力是一种时空性质。引力波是时空的涟漪,说白了就是时空剧烈震荡的表现,不是一种性质。
性质是与生俱来的,不管什么条件,什么环境下都存在。引力波出现和表现是需要条件的,对于它的探测更是难上加难。所以引力波和电磁波是不发上纠缠和作用的。
接着来回答引力和电磁波有纠缠和作用吗? 这个时候上面的问题就变的更严肃起来了,任谁都不敢忽略这个问题。
理论上可以这样说,任何温度在绝对零度以上的物体都向外辐射电磁波。电磁波是由一些基本粒子组成的,有质量。以光来说,光是一种电磁波,光也是一种质量波。
那么大质量天体使得光偏转,是引力对质量波作用,还是对电磁波作用?
答案是这样的:引力是一种时空性质,对凡是有质量的物体都起作用。那么光有质量,引力自然就使得光偏转了。也就是说引力不认识你是谁,什么电磁波,水波,声波等等,它不管你是什么,只要你携带能量,携带物质就会对你产生引力作用。
可是这位同学还是不解:虽然它对质量产生作用,可是这些质量波就是电磁波啊。电磁波也明显在引力的作用下偏转了。
答案继续:引力是对质量产生引力作用,不对物质的电磁性质产生作用。如果对电磁场,电磁波的性质产生纠缠和作用,那么电磁波理论就需要修改。
我说引力是时空的性质,时空又是一种能量时空。也就是凡是具有能量的物质就会有引力作用。
现在又说凡是具有能量的物质就会有辐射。然后引力也不与电磁波,电磁场发生作用。那么会不会引力其实也是一种电磁波?
任何物体具有引力,任何物体又具有温度,具有温度的任何物体又会辐射电磁波。
但两者不是一种东西,是有本质区别的。引力是引力,电磁是电磁。
【引力】是时空性质,是最根本的。【电磁现象】是物质性质。
时空是由时间,物质,空间构成。 而单纯的物质,只能说受时间,空间的影响。也就是说时空是电磁场发挥“活力”的舞台。从范畴角度来讲,前者包含后者,但其实现实中引力和电磁力都是长程力,你无法做出比较。
还记得惠勒的那句名言是怎么说的吗? “物质告诉时空如何弯曲,时空告诉物质如何运动“。即时空告诉电磁波,电磁场如何运动,就是按“光速”运动。所以在提到光速问题的时候,我反复强调时空的因素。
所以至此,其实电场,磁场,电磁场的本质就明了了。它们的本质是可以这样描述的:电磁场是物质在引力场中存在和运动的方式。
即引力场中电场,磁场,电磁场以我们现在看到的方式存在和运动着。
可以形象的举一个例子。河水中的漩涡。我们可以说整个河水是对河水中的漩涡有影响,不能说它产生作用。这很矛盾,是的。产生影响和产生作用不一样吗?
不一样。从联系的角度讲,任何两个东西,都有联系,都有影响。但发生作用就不同了,就好像“化学反应”一样。河水并没有对漩涡发生这样的“反应。”
或者可以直白的说,我不能对我自己发生作用。但我可以影响我自己。就是这个意思。
但我得承认,在哲学中,你要探讨的东西,答案一定在你要探讨的东西之外。而我们现在所探讨的东西,不可能这个东西之外,因为他们是一个东西。即物质。只是有一种物质叫电磁波,但它还是物质范畴中,你如何脱离?
而且最致命的是,大家想过没有,为什么我上面说,引力场的范畴从宏观来说是比电磁场范畴大的。就是因为引力是时空属性,而电磁力不是时空属性。
如果以引力与电磁场发生作用,相互依偎的话,就不会将电磁力纳入四种基本力之一了。正是因为是相互独立的,不发生作用,所以电磁力是基本力之一。他们是不能相互转化的,不能把引力转化成电磁力。但可以通过联系,纳入到一个体系里。爱氏的这个思路,没有问题。
这样解释,大家应该就能茅塞顿开了。
我们的问题,永远没有最后一个。你还可以问:“那么电磁场,电场,磁场为什么以这样的方式存在和运动?”
这个问题的回答,一定要回到量子力学中去寻找的答案。尤其是关于电荷的知识内容,
你还能问什么问题? 比如还有这样的我问题:“橘子可以产生电流,这是怎么回事?”“雷电现象是怎么回事?”
磁场可以产生电,橘子也有磁场?显然我们不是这样认为的。那么你将如何回答。
显然回答这个问题,就和我上面提到的“电荷”有关。而橘子发电,水果发电,雷电现象等等具体内容,我就不写了。大家可以在网上找到具体答案。
摘自独立学者,诗人,作家,国学起名师灵遁者宇宙物理科普书籍《变化》











