1
集 合
一、常用符号

二、常用公式
2
基本初等函数
一、概念与符号
二、常用公式
3
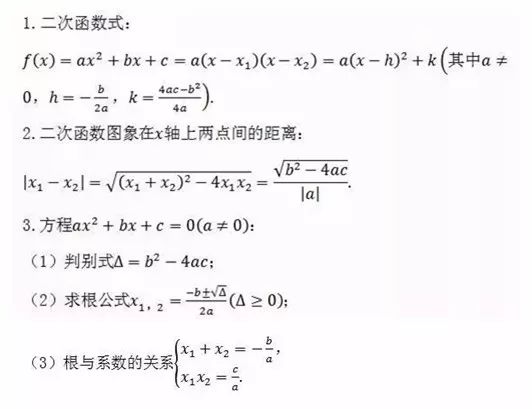
函 数 应 用
一、概念与符号
二、常用公式、
三、常用定理
4
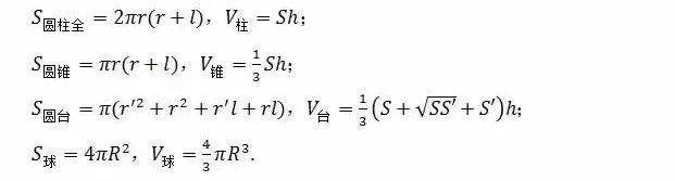
空间几何体
一、常用公式
二、常用定理
5
点、线、面的位置关系
一、概念与符号
二、常用定理
6
空间向量与立体几何
一、常用公式
二、常用定理
7
直线与方程
一、概念与符号
二、常用公式
三、用用定理
8
圆 与 方 程
一、概念与符号
二、常用公式
9
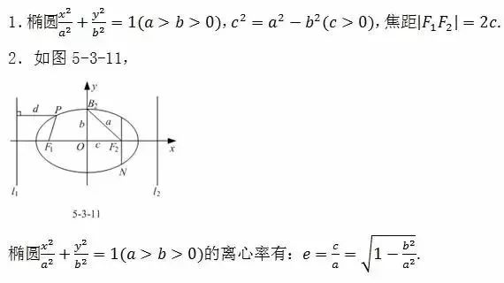
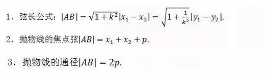
圆锥曲线与方程
一、椭圆
二、双曲线
三、抛物线
四、直线与圆锥曲线的关系
10
集 合
一、常用符号
二、基本算法语句
11
统 计
12
概 率
13
离散型随机变量的分布列
14
三 角 函 数
一、常用概念
二、常用公式
三、常用结论
15
三角函数的图像与性质
一、常用图形
二、常用性质
三、常用公式
16
三角恒等变化
17
解 三 角 形
一、常用公式
二、常用定理
三、常用结论
18
平 面 向 量
一、常用公式
二、常用定理
19
数 列
一、常用公式
二、常用结论
20
不 等 式
21
常见逻辑用语
一、常用符号
二、常用结论
22
导数及其应用
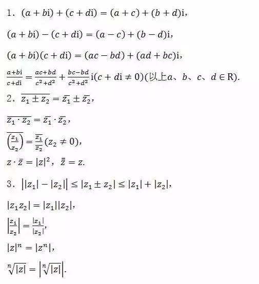
23
复 数
24
计 数 原 理
一、常用公式
二、常用结论
25
坐标系与参数方程
【来源】腾远高中生。



















































