带阻滤波器(bandstop filters,简称BSF)是指能通过大多数频率分量、但将某些范围的频率分量衰减到极低水平的滤波器,与带通滤波器的概念相对。其中点阻滤波器(notch filter)是一种特殊的带阻滤波器,它的阻带范围极小,有着很高的Q值(Q Factor)。
将输入电压同时作用于低通滤波器和高通滤波器,再将两个电路的输出电压求和,就可以得到带阻滤波器。

带阻滤波器一般分为腔体带阻滤波器和LC带阻滤波器
幅频特性:
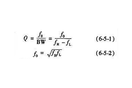
理想带阻滤波器在阻带内的增益为零。带阻滤波器的中心频率f0和抑制带宽BW之间的关系为
特性式中,Q为品质因数,fH为带阻滤波器的上限频率,fL为带阻滤波器的下限频率,其中fH>fL。带宽BW越窄,品质因数Q越高。
(以上内容整理自网络,如有侵权请联系删除!)


