一、三段式过电流保护简述
电流速断、限时电流速断和过电流保护都是反应电流增大而动作的保护,它们相互配合构成一整套保护,称做三段式电流保护。

三段的区别主要在于起动电流的选择原则不同。其中速 断和限时速断保护是按照躲开某一点的最大短路电流来整定的,而过电流保护是按照躲开最 大负荷电流来整定的。 当线路发生短路时,重要特征之一是线路中的电流急剧增大,当电流流过某一预定值时,反应于电流升高而动作的保护装置叫过电流保护。
电源的保护功能主要是过压、过流保护两种功能,两者之间的关系为:
任何一种电源在发生故障时,都有可能使输出电流失去控制,为了使用户的负载不致因此而损坏,电源一般都设有过流保护。当有些负载是容性负载时,由于大容量的电解电容器并联在一起,当电源发生故障时,电流就可能大幅度上升,而电压的升值却不甚明显,这时电源内部的过流保护部件会首先启动,电源会自动切断输出。
过流保护值是不能人工设定的,机内已经定死,一般为额定电流的1.2~1.5倍。需要说明的是,过压保护会立即快速启动,过流保护则有一秒左右的延时。这是因为如电源正常工作时,如电源的负载发生突然短路,此时电源输出的瞬间电流是数倍或数十倍的额定电流 值,可以认为是一个电流冲击,远远超过过流保护的数值,但这时并不希望过流保护起作用。而希望短路解除后,电压自动恢复正常。因此在设计过流保护时,要避开突发短路时的电流冲击,而仅考虑使输出过电流的时长达到一定的值才启动过流保护。
过流保护是针对机内故障的,因此既然发生,电源就不应自动恢复。如果一定要再现,必须关机后重新开机。而短路保护、电流报警、短路报警功能是面对用户的,如果电流已经下降,短路已经排除,相对的报警声就会自动解除,电压就会自动恢复正常。
二、三段式过电流保护原理解析
2.1 I段,无时限电流速断保护
保护范围:本段线路(一般线路全长的80~85%,最少线路全长的15%)。
动作定值:按最大运行方式下(三相短路)线路末端发生故障整定;灵敏度按最小运行方式下(两相短路)来进行校验。
动作时限:速断保护,无时限。
速断保护的构成
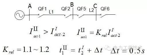
2.2 II段,带时限电流速断保护
保护范围:延伸至下一段线路(为保护本段线路全长)。
动作定值:大于下一段线路一段保护动作定值。小于本段线路I段保护定值。
动作时限:大于下一段线路一段保护动作时限。大于本段线路I段保护时限。
2.3 III段,定时限过流保护
保护范围:做本线主保护的后备保护,即近后备保护,并做相邻下一线路(或元件)的后备保护,即远后备保护。保护范围要求超越相邻线路末端。
动作定值:保证在正常并伴有电动机启动时的负荷电流下不动作;保证外部故障切除,下一母线有电动机启动下的负荷电流不动作。比I段和II段定值小很多。
动作时限:各线路III段保护的延时必须相互配合。
保护构成
三、过电流保护
指按躲过最大负荷电流来整定的保护;
是三段式电流保护的第Ⅲ段;
可以作为本线路的近后备保护,还可以作相邻线路的远后备。
正常运行时不起动;
外部故障切除之后能可靠返回;
按阶梯原则选择
3.1近后备校验
最小运行方式、两相短路、本线路末端
3.2远后备校验
最小运行方式、两相短路、相邻线路末端
3.3在各个过电流保护之间,要求灵敏系数互相配合。
保护构成
四、总结
(1)Ⅰ段、Ⅱ段做为主保护,Ⅲ段做为后备保护。
(2)Ⅰ段不能保护全长,保护范围不稳定。
(3)Ⅱ段可以保护全长,保护速动性差一些。
(4)Ⅲ段最灵敏,故障越靠近电源,切除时间越长。
(5)简单、可靠,单侧电源系统中选择性较好,一般可以满足速动要求。




















