IT之家 7 月 2 日消息,Igalia 宣布,他们已经提交了一份在 Chromium 中发布 MathML 支持的意向,并确认已在上周五发布的 Chromium Dev 105 中获得原生支持。
这是一个重要的里程碑,意味着我们更加接近四年前设定的目标。早在 2018 年,我们就开始与 Chromium 的工程师和 W3C 进行对话,宣布我们将在 2018 年 11 月启动 MathML 项目,并获得了国家信息标准组织 (NISO) 和阿尔弗雷德・p・斯隆基金会 (the Alfred P. Sloan Foundation) 的初始资助。
在此过程中,我们帮助重新建立了 W3C 数学工作组,并与其他工作组和浏览器供应商合作,创建了一个名为 MathML-Core 的新规范。该规范以一种与 web 平台的其他部分很好地集成的方式,代表了最初高大且未指定的 MathML 3 的一个可互操作子集。到目前为止,在 Web 平台测试中有超过 24000 项检查,内容包括解析、呈现以及 MathML 与平台其他部分的集成。

这意味着什么
IT之家了解到,MathML 是一种基于 XML 标准的规范。谷歌在 Chromium 中默认启用 MathML 支持后,我们就可以直接在浏览器中获得原生显示出各种超复杂的数学公式和语种。
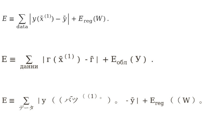
作为参考,我们对比一下旧版本浏览器的渲染样式:
▲ 旧版界面
▲ 新版界面
实际上,MathML 历史十分悠久,苹果这边从 Safari 5.1 起就已经开始支持。值得一提的是,曾经和 Safari 同属 WebKit 内核的 Chrome 24 也曾短暂支持过这一标准,但谷歌后续在 Chrome 25 中由于安全原因将其禁用。
如今,九年过去了,在 Igalia 公司的不断努力下,终于让网页中的数学排版再次迎来曙光。




