近日三星在2月21日(北京时间)即将发布的Galaxy S10已经通过FCC认证。FCC是美国联邦通信委员会,在FCC的数据中我们可以发现三星的三款旗舰都具备蓝牙LE、NFC、MST无线传输技术,并且三款机型的型号为SM-G970U,SM-G973U和SM-G975U。

NFC和MST主要是为了三星智付而存在的,NFC现在的应用已经很普及了,通过三星智付与各大银行合作我我们用手机在支持NFC的POS机上进行刷银行卡操作,同样三星在与当地公交集团合作开通公交后也可以当公交卡乘车。
MST是三星在Galaxy S6上搭载的磁性传输技术,该技术可以使手机在不支持NFC的POS机上模拟普通磁卡信号,三星推出这项技术主旨在大力普及手机支付,在配有NFC的POS机不普及的地区,保证使用三星手机的用户依然可以用三星智付。
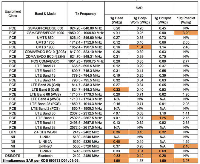
在FCC的数据中还可以看出三星Galaxy S10支持WiFi6(802.11ax)。最新的WiFi技术能带来更快的传输速度以及更低的功耗。根据FCC的数据表中看出三星的新旗舰在网络制式上并没有全部覆盖中国三大运营商的4G网络频段,也许FCC的这个数据是来自三星自家基带的测试,在中国大陆三星将会使用高通的基带,所以网络制式上是不用担心的。




